Quando si è in dubbio su come gestire una questione legale, naturalmente si ricorre a un avvocato che fornisca una consulenza. Ma sapevate che esistono alcune semplici questioni legali che potete risolvere senza avvocato? Ad esempio, redigere il testamento vostro o della vostra famiglia! Un testamento è un documento legale che stabilisce cosa desidera una persona che ne sia fatto dei propri beni, del proprio denaro, della propria famiglia, ecc. dopo la morte e, che ci crediate o no, molte persone non hanno nemmeno un testamento pronto per quando moriranno. Redigere il proprio testamento non deve essere complicato, chiunque può farlo con l'aiuto di modelli PDF di testamento e un software PDF affidabile.
In questo articolo elencheremo 14 modelli PDF gratuiti di testamento e spiegheremo come utilizzare UPDF per compilare e personalizzare il modello PDF in base alle vostre esigenze. Scaricate UPDF oggi stesso per iniziare!
Windows • macOS • iOS • Android 100% sicuro
Parte 1. 14 modelli gratuiti di testamento in formato PDF
Per creare il tuo testamento, dovrai prima scaricare un modulo PDF con il modello di testamento. Questi moduli legali sono disponibili gratuitamente su diversi siti web facilmente accessibili. Di seguito ti forniamo 10 modelli PDF gratuiti di testamento tra cui scegliere. Se nessuno di questi fa al caso tuo, non preoccuparti! Puoi utilizzare UPDF per personalizzare qualsiasi modello elencato qui e adattarlo alle tue esigenze.
1. Modello PDF gratuito per testamento e ultime volontà da UPDF con tutto il necessario
UPDF crea molti modelli PDF gratuiti per testamenti e ultime volontà. Il primo include tutto ciò di cui hai bisogno, come le dichiarazioni del testatore, la nomina degli esecutori testamentari e dei successori, le disposizioni relative al compenso, alla cauzione e altro ancora. Puoi cliccare sul pulsante sottostante per scaricarlo sul tuo computer e personalizzarlo con UPDF.

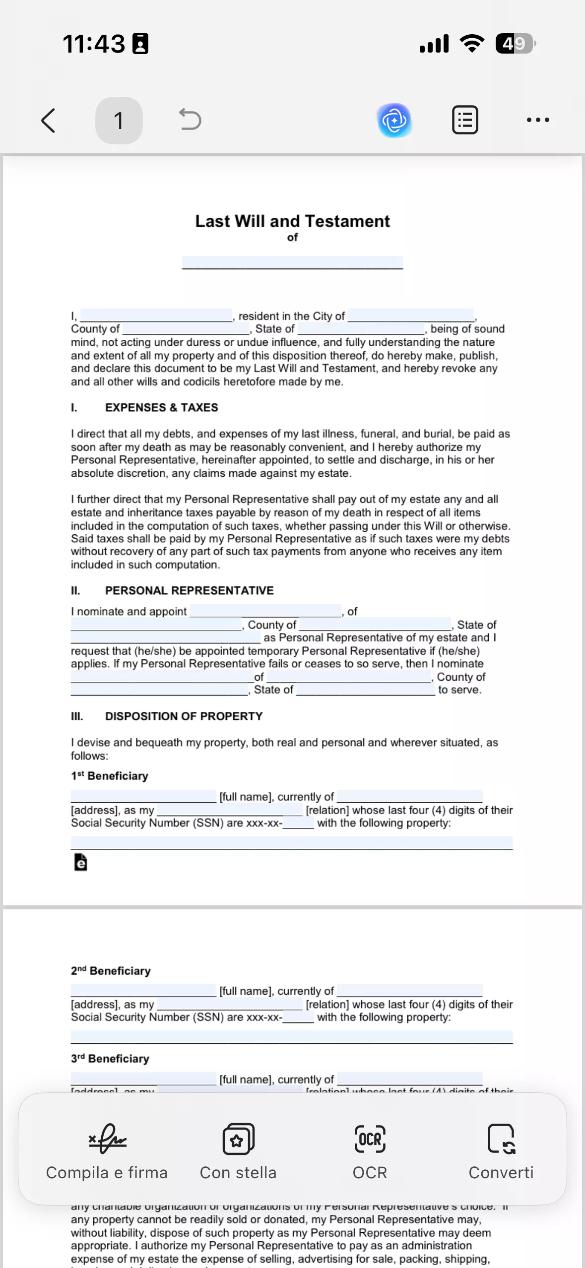
2. Modello PDF gratuito per testamento e ultime volontà da UPDF
Ecco un altro modello PDF gratuito di UPDF. È molto più semplice e con parti più chiare. Comprende 6 sezioni per l'identificazione, i doni specifici, il pagamento delle imposte, il dono residuo, l'esecutore testamentario e le disposizioni varie. Basta scaricare il modello e personalizzarlo subito.

3. Modello PDF gratuito per testamento semplice da UPDF
UPDF offre anche un semplice modello PDF per il testamento. Chi non ha troppi dettagli da includere può utilizzare questo modello. In questo modello è sufficiente inserire le proprie informazioni personali, chi è il proprio rappresentante personale e quali sono le ultime volontà.

4. Modello PDF gratuito di testamento e ultime volontà da UPDF con proprietà e altro
Se desideri avere maggiori dettagli su parenti, sepoltura, debiti, spese, beni personali e altro ancora, scarica questo modello PDF di testamento.

5. Modello PDF di testamento e ultime volontà da eForms
Il primo modello di testamento può essere scaricato qui dal sito web eforms. Di seguito è riportato un esempio della prima pagina di questo testamento. Il modello è chiaro e facile da usare e presenta degli spazi vuoti evidenziati in blu che possono essere compilati con UPDF scaricandolo dal pulsante sopra indicato. In questo modello è necessario inserire lo stato e la città di residenza e, più in basso, le informazioni e lo stato e la città di residenza del rappresentante della propria eredità. Più in basso, nell'altra pagina, è possibile designare i beneficiari del testamento e il loro rapporto con il testatore. È inoltre presente una riga speciale per la data e la firma del testatore e del testimone.

6. Modello PDF di testamento e ultime volontà da doyourownwill.com
Il modello di testamento riportato di seguito può essere scaricato gratuitamente in formato PDF dal sito doyourownwill. Le parti compilabili sono evidenziate in blu. Inserisci il tuo nome e le tue informazioni all'inizio del modello, quindi nella sezione I inserisci la tua città e il tuo stato di residenza, mentre nella sezione II inserisci l'esecutore testamentario. Questo modello prevede anche una sottosezione dedicata al tuo successore esecutore testamentario.

7. Testamento e ultime volontà da willtemplates.com
Il modello è disponibile sul sito web willtemplates. È possibile scaricare questo testamento in formato PDF, tuttavia, come si può vedere nella foto qui sotto, non presenta caselle blu compilabili in cui gli utenti possono digitare facilmente le informazioni. Per inserire correttamente le informazioni in questo modello, gli utenti dovranno inserire le proprie caselle di testo negli spazi vuoti utilizzando UPDF. È possibile fare clic sul pulsante sottostante se si preferisce personalizzare questo modello PDF. Questo modello fornisce informazioni standard sul testamento e presenta la maggior parte delle sezioni compilabili nella parte inferiore del documento.

8. Modello PDF di testamento e ultime volontà da Signaturely
Un altro modello di testamento in formato PDF può essere scaricato da Signaturely. Gli utenti dovranno fornire un indirizzo e-mail per ottenere il modello di testamento gratuito. Questo modello consiste in una tabella nelle prime pagine in cui inserire le informazioni relative ai figli che saranno interessati dal testamento. Sarà necessario utilizzare UPDF per creare una casella di testo in cui digitare le informazioni nella sezione della tabella. Ci sono sezioni rigate che richiedono anch'esse una casella di testo per essere completate.

9. Testamento PDF da Doctemplates.net
Questo modello può essere scaricato gratuitamente dal sito doctemplates. Se questo modello non è di vostro gradimento, potete trovarne altri su questo sito web. Una volta scaricato il modello, il PDF è pronto per essere compilato direttamente nelle righe evidenziate in blu. Inserite i nomi dei vostri figli nel primo articolo di questo modello, poi nel secondo articolo nominate il rappresentante personale del vostro testamento.

10. Modello PDF di testamento e ultime volontà da LegalTemplates.net
Il prossimo modello di testamento è scaricabile in formato PDF dal sito LegalTemplates.net. Questo modello viene scaricato in formato PDF e fornisce anche un modulo facile da compilare in cui è possibile inserire le proprie informazioni nella casella evidenziata. Questo modello è diverso da alcuni degli altri che abbiamo visto perché inizia con una sezione Dichiarazione e sezioni interattive con caselle di controllo per indicare se si è sposati o si hanno figli.

11. Modello PDF di testamento e ultime volontà da Easylegaldocs.com
Easylegaldocs offre un modello di testamento che può essere scaricato qui. Per questo modello, è necessario innanzitutto inserire alcune informazioni di base nel sito web, che genererà un modello di testamento da cui partire. Una volta generato sullo schermo, alcune delle informazioni personali saranno già inserite, mentre le altre dovranno essere completate. È possibile scaricare il modello in formato PDF da qui e poi caricarlo su UPDF per completarlo.

12. Modello PDF di testamento e ultime volontà da Templates.Legal
Questo semplice modello di testamento può essere scaricato da Templates Legal, qui. Il modello presenta comodi spazi vuoti in cui è possibile inserire le caselle di testo con UPDF e digitare le proprie informazioni personali. Il modello contiene diverse sezioni importanti relative ai beni immobili e agli oggetti domestici. Il modello prevede anche diverse righe nel caso in cui si desideri includere più beneficiari.

13. Modello PDF di testamento e ultime volontà da Legal-Aid.Co
Un altro modello di testamento scaricabile gratuitamente in formato PDF è disponibile all'indirizzo legal-aid.co. Questo link rimanda direttamente al download del PDF e presenta degli spazi vuoti in cui inserire le informazioni personali. Questo modello è destinato ai minori che devono redigere un testamento e prevede una sezione per la nomina di un tutore. Sarà necessario creare delle caselle di testo su UPDF per digitare le informazioni nelle sezioni tratteggiate.

14. Modello PDF di testamento e ultime volontà da RocketLawyer.com
Un altro testamento può essere scaricato da questo modulo su RocketLawyer. Per questo testamento, è possibile inserire i propri dati personali nel sito web, quindi scaricare il testamento e inserire il resto. Questo modello di testamento contiene informazioni più dettagliate rispetto ad altri e per scaricare il documento completo è necessario creare un account. Il modello è composto da diverse pagine e contiene circa 10 sezioni.

Leggi Anche: 10 moduli PDF per il certificato di matrimonio da scaricare
Parte 2. Come modificare e compilare i modelli PDF di testamento?
Se non sei soddisfatto dei modelli di testamento che hai trovato o desideri apportare delle modifiche, puoi farlo utilizzando UPDF! UPDF è lo strumento migliore per modificare e compilare il tuo modello di testamento in formato PDF. Ti aiuta a compilare i moduli PDF compilabili, ma anche a modificare il modello originale in base alle tue esigenze. UPDF ti consente di aggiungere testo al modello, immagini e può persino aiutarti a firmare il documento finale. Scarica UPDF per iniziare a redigere il tuo testamento!
Windows • macOS • iOS • Android 100% sicuro
1. Come apportare modifiche ai modelli PDF di testamento?
Prima di tutto, ti mostrerò come apportare modifiche al modello PDF non compilabile del testamento e come cambiare il contenuto del modello in base alle tue esigenze.
Passaggio 1: una volta trovato un modello da cui partire, clicca sull'icona UPDF sul tuo computer per avviarlo, clicca su “Apri file” per aprire il modello PDF del testamento.
Passaggio 2: Quindi, puoi andare sul pulsante “Modifica” in “Strumenti” nella parte superiore sinistra dell'immagine sottostante:

Passaggio 3: Ora puoi cliccare sul testo che desideri modificare. Puoi modificare il contenuto, cancellarlo e riempirlo secondo le tue esigenze.

2. Come compilare il modello PDF del testamento
Se il modello PDF del tuo testamento è compilabile e non presenta modifiche da apportare o se hai già apportato le modifiche, puoi compilarlo subito. UPDF evidenzierà automaticamente i campi esistenti, aiutandoti a individuare rapidamente le sezioni che devono essere compilate.

Se alcuni campi del modulo non vengono riconosciuti automaticamente, puoi fare clic su Strumenti nella parte superiore dello schermo, selezionare Modalità modulo e, in Altro, fare clic su Riconoscimento campi modulo per eseguire manualmente il processo di riconoscimento. In questo modo verranno rilevati tutti i campi rimanenti, che potrai compilare senza tralasciare alcuna parte del modulo.

Passaggio 1: dopo aver aperto il modello PDF compilabile con UPDF, clicca sul campo di testo compilabile e inserisci i dettagli richiesti in modalità Commento.
Windows • macOS • iOS • Android 100% sicuro

Passaggio 2. Se i moduli PDF non sono compilabili, puoi anche andare su “Strumenti” > ‘Modifica’ > “Testo” per compilare il modello PDF.
3. Come firmare il modello PDF del testamento
Una volta completato il testamento e inserite tutte le informazioni nel modello, è possibile finalizzarlo e firmarlo. Esistono diversi modi per firmare il modello di testamento utilizzando UPDF. È possibile apporre una firma autografa o una firma digitale.
Passaggio 1: per firmare, è necessario fare clic sulla modalità “Commento” in “Strumenti”.
Windows • macOS • iOS • Android 100% sicuro
Passaggio 2: quindi vai su “Firma” > “Crea” e ti verrà richiesto di creare una firma da apporre o di scegliere una firma esistente salvata sul tuo computer da caricare.

Suggerimenti:

Oltre a creare, modificare, preparare e firmare i modelli di testamento, UPDF offre numerose altre funzioni utili. UPDF dispone anche di una speciale funzione “UPDF Condivisione” che consente di inviare via e-mail il testamento firmato e completato direttamente da UPDF.
È disponibile anche una funzione di annotazione, quindi se invii il documento al tuo avvocato o a qualcun altro per una revisione, questi potranno collaborare lasciando annotazioni e altri commenti.
Una caratteristica di UPDF che la maggior parte degli altri software PDF non ha è l'utile tecnologia AI che aiuta a riassumere o tradurre il tuo testamento e può persino aiutarti a generare idee originali. Per saperne di più su UPDF, puoi guardare questo breve video qui.
Conclusioni
Creare un testamento o qualsiasi altro documento legale può essere complicato e stressante. Con tutti questi modelli di testamento in formato PDF e UPDF, è facile creare il proprio testamento. UPDF semplifica questo processo consentendo agli utenti di caricare un modello di testamento in formato PDF da modificare, compilare e persino firmare. UPDF è uno strumento completo per tutte le tue esigenze relative ai documenti legali e al tuo testamento definitivo. Prova uno di questi modelli e scarica UPDF per iniziare a creare e aggiornare il tuo testamento oggi stesso. modello di testamento in PDF da modificare, compilare e anche firmare. UPDF rappresenta una soluzione completa per tutte le tue esigenze legate ai documenti legali e per il tuo testamento finale. Prova uno di questi modelli e scarica UPDF per iniziare a creare e aggiornare il tuo testamento oggi stesso.
Windows • macOS • iOS • Android 100% sicuro
UPDF
UPDF per Windows
UPDF per Mac
UPDF per iPhone/iPad
UPDF per Android
UPDF AI Online
UPDF Sign
Modifica PDF
Annota PDF
Crea PDF
Modulo PDF
Modifica collegamenti
Converti PDF
OCR
PDF a Word
PDF a Immagine
PDF a Excel
Organizza PDF
Unisci PDF
Dividi PDF
Ritaglia PDF
Ruota PDF
Proteggi PDF
Firma PDF
Redige PDF
Sanziona PDF
Rimuovi Sicurezza
Leggi PDF
UPDF Cloud
Comprimi PDF
Stampa PDF
Elaborazione Batch
Cos'è UPDF AI
Revisione di UPDF AI
Guida Utente per l'Intelligenza Artificiale
FAQ su UPDF AI
Riassumi PDF
Traduci PDF
Chat con PDF
Chat con AI
Chat con immagine
Da PDF a Mappa mentale
Spiega PDF
Strumenti AI PDF
Strumenti AI Immagine
Strumenti Chat AI
Strumenti AI Scrittura
Strumenti AI Studio
Strumenti AI Lavoro
Altri Strumenti AI
Generazione Segnalibri AI
Riepilogo Segnalibri AI
Generazione Filigrane AI
Generazione Sfondi AI
Generazione Adesivi AI
Generazione Timbri AI
Suite di Scrittura AI
UPDF Copilot
Gestione Pagine AI
Ricerca Semantica AI
PDF a Word
PDF a Excel
PDF a PowerPoint
guida utente
Trucchi UPDF
faq
Recensioni UPDF
Centro download
Blog
Notizie
spec tec
Aggiornamenti
UPDF vs. Adobe Acrobat
UPDF vs. Foxit
UPDF vs. PDF Expert